【導讀】本文由ADI代理商駿龍科技工程師通過介紹理想電路和實際電路仿真,回顧開關波形,檢查 PCB 布局,并使用理想的仿真模型,以確認當穩壓器的開關頻率較高時可使用的電子元件。
本文由ADI代理商駿龍科技工程師通過介紹理想電路和實際電路仿真,回顧開關波形,檢查 PCB 布局,并使用理想的仿真模型,以確認當穩壓器的開關頻率較高時可使用的電子元件。
PART.01 設置電感和輸出電容器常數
DC/DC 轉換器的開關頻率通常在 300~500KHz 之間,但逐漸流行開關頻率為 1~2MHz 的產品,有些可達到 4MHz 或更高。高頻 DC/DC 轉換器能夠減小輸出電容和電感的尺寸以節省電路板空間,這是小型便攜類產品的基本功能,但它們卻很難在較高的開關頻率下達到更低的電壓。
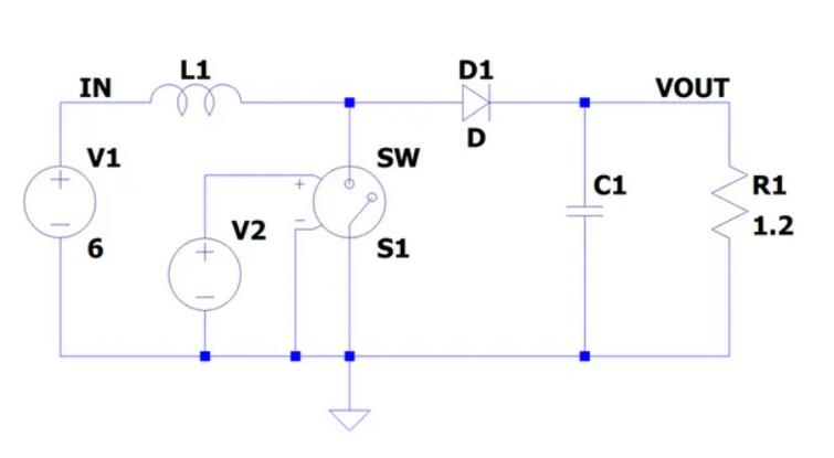
這次我們將使用 ADI LTspice 創建一個理想電路并驗證其工作。如下圖 (圖1) 所示,使用電路構建輸入電壓為 6(V)、輸出電壓為 12(V)、負載電流為 10(A) 的升壓轉換器。使用該理想電路時,觀察當開關頻率為 2MHz 和 400KHz 時,計算并比較所用電感和輸出電容的常數值變化幅度,之后可以檢查當電路隨計算常數移動時是否能夠獲得相同的特性。
圖1 升壓轉換器電路
PART.02 選擇電感器
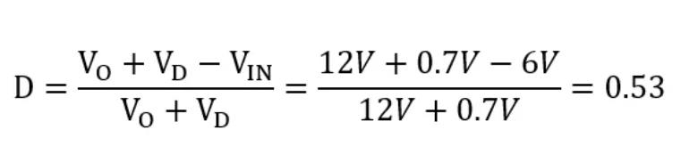
在計算電感值前需要先計算 Duty 比,可參考使用下圖 (圖2) 所示公式。其中 Vo 為輸出電壓,VIN 為輸入電壓,VD 為二極管正向電壓。
圖2 Duty 比計算公式
接下來計算開關頻率為 2MHz 的電感 (L1) 和開關頻率為 400KHz 的電感 (L2)。計算公式如下圖 (圖3) 所示,其中 ΔIL 為負載電流的 40%。當開關頻率為 2MHz 時,電感值約為 1/5,電感器的匝數減少。由此可見,高開關頻率的優點是可以選擇電感外形較小的元件。
圖3 電感計算公式
PART.03 選擇輸出電容
隨后使用下圖 (圖4) 所示公式,計算輸出電容值,這里的 ESR 指的是輸出電容的 ESR,而輸出電容由可接受的輸出紋波值決定。
圖4 輸出紋波電壓計算公式
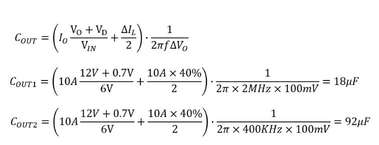
這次我們將模擬理想狀態下升壓轉換器的電路,將 ESR 為零的公式展開,可得出求輸出電容公式,如下圖 (圖5) 所示:
圖5 輸出電容電容計算公式
根據公式計算了開關頻率為 2MHz(Cout1) 的輸出電容和400KHz(Cout2) 的輸出電容,Cout1=18μF,Cout2=92μF,因此開關頻率越高,電容越小。接下來可以通過仿真來檢查計算出的電感器和輸出電容器是否可以獲得所需的輸出電壓。
PART.04 使用 LTspice 進行操作檢查
接下來通過 LTspice 驗證使用上圖 (圖1) 中理想升壓轉換器電路中計算的電感和輸出電容、在 2MHz 和 400KHz 的開關頻率下是否可獲得 12V 輸出以及紋波電壓是否相同。
圖6 開關頻率為 2MHz 和 4MHz 的升壓穩壓器電路
如下圖 (圖7) 所示為輸出電壓仿真,其中紅色 (Vout1) 為開關頻率為 2MHz 的結果,在 12V 輸出電壓下紋波約為 149mV,藍色 (Vout2) 為開關頻率為 400KHz 的結果,在 11.95V 輸出電壓下紋波約為 145mV。從這些結果可以看出,所選的電感器和輸出電容器沒有問題,并且在具有高開關頻率的穩壓器的情況下,可以選擇附近使用的電感器和電容器等小元件。
圖7 輸出電壓波形圖
但是需要檢查如下圖 (圖8) 所示的各種電流波形,藍色電感電流具有低壓擺率的特點,易于利用輸入電容進行濾波??梢钥闯隽鬟^紅色開關的電流和流過綠色輸出電容的電流是具有快速壓擺率的 PWM 電流波形,這種快速壓擺率電流的 PCB 布局必須是經過仔細設計的。此次出于仿真目的,我們對 2MHz 和 400KHz 使用相同的壓擺率進行仿真,但是在真實設備上,400MHz 的壓擺率可能會比 2KHz 時更快。
圖8 各種電流波形
PART.05 總結
本文通過仿真實驗,說明當處理穩壓器開關頻率越高,穩壓器中使用的相互作用器和電容器的尺寸就越小。然而高開關頻率也伴隨著挑戰,例如開關損耗增加、高開關節點壓擺率和高電流壓擺率,也很難找到合適的 MOSFET。MOSFET 必須具有足夠低的導通電阻,以最大限度地降低導通損耗并實現快速開關。PCB 上元件的放置和布線應考慮 PCB 的寄生電感,敏感節點不應允許噪聲傳播。
免責聲明:本文為轉載文章,轉載此文目的在于傳遞更多信息,版權歸原作者所有。本文所用視頻、圖片、文字如涉及作品版權問題,請聯系小編進行處理。
推薦閱讀:
ST 幫助松下自行車科技公司將人工智能引入電動自行車,以低廉的成本提升安全性
瑞森半導體新品攻略—小功率、小體積、高效率!LED驅動模塊RSC6218A



